填报志愿必看!河南近三年普通高招录取分数线及分数段统计表来了

发布时间:2024-06-20 点击数:

填报志愿必看!河南近三年普通高招录取分数线及分数段统计表来了

 

2024全国高考已结束

接下来就是

最重要的志愿填报环节

志愿填报会直接影响

每位考生的录取结果

河南省经济管理学校为大家整理了

河南近三年普通高招

录取分数线及分数段统计表

(含理、文科)

分数段是高考志愿填报

非常重要的参考依据

分数段与分数线

 

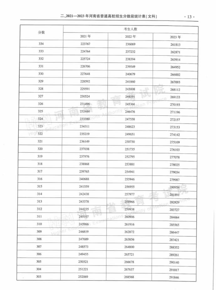
分数段即该年所有参加高考的学生成绩分数段及排名位次的汇总,表中会列出该年高考每个分数同分段的人数。考生在查询自己高考成绩时,除了分数,也会查询到自己的成绩在全省考生中的排名情况,对于考生填报志愿有极大的参考价值。

 

近三年的录取分数线及分数段是考生志愿填报时非常重要的参考资料,各院校的录取分数每年都会有波动,但是录取分数的位次却相对会在一个比较稳定的范围内。考生可以查询各院校往年的录取分数及该分数往年排名位次情况,根据自己的位次来选择合理的院校。

 

2021—2023河南高招录取分数线及分数段

 

 

 

 

 

理科

 

 

 

 

 

 

 

 

 

 

 

 

 

 

 

 

 

 

 

 

 

 

 

文科

 

 

 

 

 

 

 

 

 

 

 

 

 

 

 

 

 

 

 

 

 

 

 

 

 

这些数据对高考填报志愿

非常重要

请转发分享给你身边的高考生们

 

 

 

河南省经济管理学校

 

 

 

学校办公室:0377-60867079

信息中心:0377-60867065      地址:河南省南阳市信臣中路568号

微信公众号

版权所有 CopyRight©河南省经济管理学校   豫ICP备18038744号-1